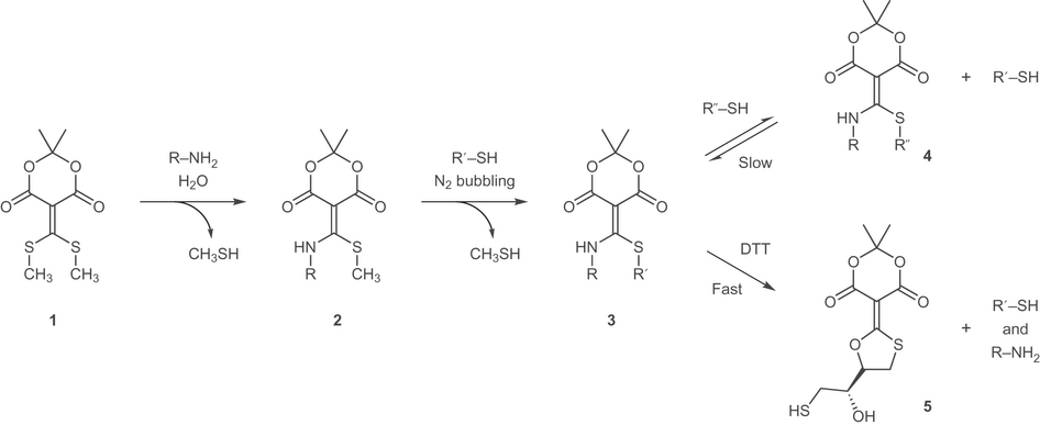
直接上反应式吧,科研人员开发下面的这种反应比较有意思,既能实现click reaction ,又能发生declick reaction(gaofenzi小编暂且其翻译成:脱点击反应),这种反应可以用于高分子的修饰和去修饰,比如蛋白质的改性。。
参考文献:Katharine L. Diehl et al. Click and chemically triggered declick reactions through reversible amine and thiol coupling via a conjugate acceptor, Nature Chemistry (2016). DOI: 10.1038/nchem.2601
Abstract
The coupling and decoupling of molecular units is a fundamental undertaking of organic chemistry. Herein we report the use of a very simple conjugate acceptor, derived from Meldrum’s acid, for the sequential ‘clicking’ together of an amine and a thiol in aqueous conditions at neutral pH. Subsequently, this linkage can be ‘declicked’ by a chemical trigger to release the original amine and thiol undisturbed. The reactivity differs from that of other crosslinking agents because the selectivity for sequential functionalization derives from an altering of the electrophilicity of the conjugate acceptor on the addition of the amine. We describe the use of the procedure to modify proteins, create multicomponent libraries and synthesize oligomers, all of which can be declicked to their starting components in a controlled fashion when desired. Owing to the mild reaction conditions and ease of use in a variety of applications, the method is predicted to have wide utility.